


Leaflet: information for the user
Gestinyl20/75 micrograms coated tablets
Ethinylestradiol/Gestodene
Important things you should know about combined hormonal contraceptives (CHCs):
Read the entire leaflet carefully before starting to take this medication, as it contains important information for you.
Contents of the leaflet
General considerations Before starting to take Gestinyl, you should read the information about blood clots in section 2. It is particularly important that you read the symptoms of a blood clot (see section 2 "Blood clots"). Before you can start taking Gestinyl, your doctor will ask you some questions about your personal medical history and that of your close relatives. The doctor will also measure your blood pressure and, depending on your personal situation, may perform some other tests. This prospectus describes several situations in which you should stop taking this medication or in which its effectiveness may be reduced. In such situations, you should not have sexual intercourse or should take other non-hormonal contraceptive precautions, such as a condom or another barrier method. Do not use rhythm or temperature methods. These methods may not be reliable, as Gestinyl alters the monthly changes in body temperature and cervical mucus. Gestinyl, like other hormonal contraceptives, does not protect against HIV (AIDS) or any other sexually transmitted disease. |
Do not takeGestinyl
You should not use Gestinyl if you have any of the conditions listed below. Inform your doctor if you have any of the conditions listed below. Your doctor will discuss with you what other form of contraception would be more suitable.
Warnings and precautions
When should you consult your doctor? Seek urgent medical attention
To obtain a description of the symptoms of these serious side effects, see "How to recognize a blood clot". Psychiatric disorders Some women who use hormonal contraceptives like Gestinyl have reported depression or a depressed mood. Depression can be severe and sometimes can induce suicidal thoughts. If you experience mood changes and depressive symptoms, contact your doctor for additional medical advice as soon as possible. If you experience symptoms of angioedema such as swelling of the face, tongue, and/or throat, and/or difficulty swallowing or urticaria with possible difficulty breathing, contact a doctor immediately. Products that contain estrogens can cause or worsen the symptoms of hereditary and acquired angioedema. |
Some of the conditions listed below may worsen when taking the pill. Or they may make it less suitable for you. You may still be able to take Gestinyl, but you will need to be extra careful and have more frequent check-ups.
Tell your doctor if you have any of the following conditions
If the condition develops or worsens while you are using Gestinyl, you should also inform your doctor.
In some situations, you will need to be extra careful while using Gestinyl or any other combined hormonal contraceptive, and your doctor may need to perform regular check-ups. If any of the following conditions affect you, you should inform your doctor before starting to use Gestinyl:
Gestinyl and thrombosis
blood clots
The use of a combined hormonal contraceptive like Gestinyl increases your risk of having a blood clot compared to not using it. In rare cases, a blood clot can block blood vessels and cause serious problems.
Blood clots can form:
Recovery from blood clots is not always complete. In rare cases, there can be serious long-term effects or, very rarely, they can be fatal.
It is essential to remember that the overall risk of a harmful blood clot due to Gestinyl is small.
how to recognize a blood clot
Seek urgent medical attention if you notice any of the following signs or symptoms.
Are you experiencing any of these signs? | What might you be suffering from? |
| Deep vein thrombosis |
If you are unsure, consult your doctor, as some of these symptoms, such as cough or shortness of breath, can be confused with a milder condition such as a respiratory infection (e.g., a "common cold"). | Pulmonary embolism |
Symptoms that occur more frequently in one eye:
| Retinal vein thrombosis (blood clot in the eye) |
| Heart attack |
Sometimes the symptoms of a stroke can be brief, with almost immediate and complete recovery, but you should still seek urgent medical attention as you may be at risk of having another stroke. | Stroke |
| Blood clots that block other blood vessels. |
Go to the doctor as soon as possible. Do not take any more Gestinyluntil your doctor tells you to do so. In the meantime, use another contraceptive method, such as a condom.
blood clots in a vein
What can happen if a blood clot forms in a vein?
When is the risk of having a blood clot in a vein higher?
The risk of having a blood clot in a vein is higher during the first year you take a combined hormonal contraceptive for the first time. The risk may also be higher if you start taking a combined hormonal contraceptive (the same medication or a different one) after an interruption of 4 weeks or more.
After the first year, the risk decreases, but it is always slightly higher than if you were not taking a combined hormonal contraceptive.
When you stop taking Gestinyl, your risk of having a blood clot returns to normal within a few weeks.
What is the risk of having a blood clot?
The risk depends on your natural risk of VTE and the type of combined hormonal contraceptive you are taking.
The overall risk of having a blood clot in the leg or lung (DVT or PE) with Gestinyl is small:
Risk of having a blood clot in a year | |
Women who do not usea combined hormonal contraceptive pill/patch/ring and are not pregnant | About 2 out of 10,000 women |
Women who use a combined hormonal contraceptive pill that contains levonorgestrel, norethisterone, or norgestimate | About 5-7 out of 10,000 women |
Women who use Gestinyl | About 9-12 out of 10,000 women |
Factors that increase your risk of having a blood clot in a vein
The risk of having a blood clot with Gestinyl is small, but some conditions increase the risk. Your risk is higher:
The risk of having a blood clot increases with the number of conditions you have.
Long-haul flights (more than 4 hours) can temporarily increase the risk of a blood clot, especially if you have any of the other risk factors listed.
It is essential that you inform your doctor if you have any of the conditions mentioned above, even if you are not sure. Your doctor may decide to stop your treatment with Gestinyl.
Tell your doctor if any of the conditions mentioned above change while you are using Gestinyl, for example, if a close relative experiences a thrombosis without a known cause or if you gain a lot of weight.
blood clots in an artery
What can happen if a blood clot forms in an artery?
Like a blood clot in a vein, a clot in an artery can cause serious problems. For example, it can cause a heart attack or a stroke.
Factors that increase your risk of having a blood clot in an artery
It is essential to note that the risk of a heart attack or stroke due to Gestinyl is very small, but it can increase:
If you have one or more of these conditions or if any of them are particularly severe, the risk of having a blood clot may be increased further.
If any of the conditions mentioned above change while you are using Gestinyl, for example, if you start smoking, a close relative experiences a thrombosis without a known cause, or you gain a lot of weight, inform your doctor.
Gestinyl and cancer
It appears that taking the pill slightly increases the risk of cervical cancer, although this may be due to having unprotected sex and not the pill. All women should have regular Pap smears.
If you have breast canceror have had it in the past, you should not take the pill.
The pill slightly increases the risk of breast cancer. This risk increases the longer you take the pill.
Follow the administration instructions of the medication indicated by your doctor or pharmacist exactly. In case of doubt, consult your doctor or pharmacist again.
Take one Gestinyl pill every day, with a small amount of water if necessary. You can take the pills with or without food, but you should take them approximately at the same time every day.
Each blister pack contains 21 pills. Next to each pill is the day of the week printed. If, for example, you start on a Wednesday, take a pill with "WED" next to it. Follow the direction of the arrow on the blister pack until you have taken all the pills.
Then, do not take any pills for 7 days. During these 7 days without pills (also called the "break" or "pill-free week"), bleeding should occur. This bleeding, known as "withdrawal bleeding," usually starts on the second or third day of the break.
On the eighth day after the last Gestinyl pill (i.e., after the break), start the next blister pack, even if the bleeding has not stopped. This means you should start the next pack on the same day of the week, and the withdrawal bleeding should occur during this time.
If you use Gestinyl in this way, you will also be protected against pregnancy during the 7 days when you are not taking pills.
When can you start with the first blister pack
Start taking Gestinyl on the first day of your cycle (i.e., the first day of your menstruation). If you start taking Gestinyl on the first day of your menstruation, you will be immediately protected against pregnancy. You can also start taking Gestinyl between days 2-5 of your cycle, but in this case, you should take additional contraceptive measures (such as a condom) for the first 7 days.
You can start taking Gestinyl the day after the break from your previous oral contraceptive (or after the last placebo pill). When switching from a vaginal ring or patch, follow your doctor's advice.
You can switch at any time from the pill, from an injectable when the next injection is due. In the case of an implant or IUD, on the day of its removal. In all cases, you should take additional contraceptive measures (such as a condom) for the first 7 days of taking the pills.
Follow your doctor's instructions.
You can start taking Gestinyl between 21 and 28 days after childbirth. If you start later than day 28, you should use a barrier method (such as a condom) for the first 7 days of using Gestinyl.
If you have had sex after giving birth before starting to take Gestinyl again, you should first make sure you are not pregnant, or wait until your next menstruation.
Let your doctor advise you if you are not sure when to start.
Gestinyl should not be used during breastfeeding. Read the section "Pregnancy and breastfeeding".
If you take more Gestinyl than you should
No serious harmful effects have been reported when taking too many Gestinyl pills.
If you take several pills at once, you may experience nausea or vomiting. Young girls may have vaginal bleeding.
If you have taken more Gestinyl pills than you should, or if your child has taken them, consult your doctor or pharmacist immediately, or call the Toxicology Information Service, phone 91 562 04 20, indicating the medication and the amount ingested.
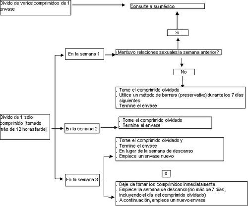
If you forget to take Gestinyl
The risk of reduced protection against pregnancy is higher if you miss a pill at the beginning or end of the pack. Therefore, you should follow these rules (also consult the diagram below):
Consult your doctor.
Take the missed pill as soon as you remember, even if it means taking two pills at the same time. Continue taking the pills at the usual time and take additional precautionsfor the next 7 days, such as a condom. If you have had sex in the week before missing the pill or have missed starting a new pack after the break, you should consider the risk of pregnancy. In this case, consult your doctor.
Take the missed pill as soon as you remember, even if it means taking two pills at the same time. Continue taking the pills at the usual time. Your protection against pregnancy will not be reduced, and you do not need to take additional precautions.
You can choose between two options:
It is likely that you will have your period (withdrawal bleeding) at the end of the second pack, but you may also have spotting or intermenstrual bleeding during the second pack.
If you follow either of these recommendations, you will still be protected against pregnancy.

What to do in case of vomiting or severe diarrhea
If you vomit within 3-4 hours after taking a pill or have severe diarrhea, there is a risk that your body will not fully absorb the active ingredients of the pill. The situation is similar to if you miss a pill. After vomiting or having diarrhea, you should take another pill from a spare pack as soon as possible. If possible, take it within 12 hoursof the usual time. If this is not possible or more than 12 hours have passed, you should follow the instructions in the "If you forget to take Gestinyl" section.
Delayed menstrual period: what you should know
Although it is not recommended, it is possible to delay your menstrual period (withdrawal bleeding). This can be done by going directly to a new pack of Gestinyl instead of the break, after the first pack. You may experience spotting (drops or spots of blood) or intermenstrual bleeding during the use of the second pack. After the usual 7-day break, continue with the next pack.
You can consult your doctor before deciding to delay your menstrual period.
Changing the first day of your menstrual period: what you should know
If you take the pills according to the instructions, your menstrual period/withdrawal bleeding will start during the break. If you need to change this day, do so by shortening the break (but never lengthening it!). For example, if your break starts on a Friday and you want to change the day to Tuesday (3 days earlier), you should start a new pack 3 days earlier than usual. If you make the break very short (e.g., 3 days or less), you may not experience withdrawal bleeding during that break. In this case, you may experience spotting (drops or spots of blood) or intermenstrual bleeding.
If you are not sure how to proceed, consult your doctor.
If you stop taking Gestinyl
You can stop taking Gestinyl whenever you want. If you do not want to become pregnant, consult your doctor about other reliable contraceptive methods.
If you have any other questions about the use of this medication, ask your doctor or pharmacist.
Like other medications, this medication may produce adverse effects, although not all people suffer from them. If you experience any adverse effect, especially if it is severe and persistent, or have any change in your health status that you believe may be due to Gestinyl, consult your doctor.
All women who take combined hormonal contraceptives are at a higher risk of developing blood clots in the veins (venous thromboembolism [VTE]) or blood clots in the arteries (arterial thromboembolism [ATE]). For more detailed information on the different risks of taking combined hormonal contraceptives, see section 2. What you need to know before taking Gestinyl.
Contact a doctor immediately if you experience any of the following symptoms of angioedema: swelling of the face, tongue, and/or throat and/or difficulty swallowing or urticaria with possible difficulty breathing (see also the section "Warnings and Precautions").
Severe Adverse Effects – Seek Medical Attention Immediately
Uncommon Adverse Effects(may affect up to 1 in 1,000 people)
The likelihood of experiencing a blood clot may be higher if you have any other disease that increases this risk (see section 2 for more information on diseases that increase the risk of blood clots and symptoms of a blood clot).
Signs of a Blood Clot(see section 2 "Blood Clots").
Signs of Breast Cancer Include:
Signs of Cervical Cancer Include:
Signs of Severe Liver Problems Include:
? If you think you may have any of these symptoms, see a doctor immediately. You may need to stop taking Gestinyl.
Less Severe Adverse Effects
Very Common Adverse Effects(may affect more than 1 in 10 people)
Common Adverse Effects(may affect up to 1 in 10 people)
Uncommon Adverse Effects(may affect up to 1 in 100 people)
Rare Adverse Effects(may affect up to 1 in 1,000 people)
Very Rare Adverse Effects(may affect up to 1 in 10,000 people)
Other Reported Adverse Effects
Very Common Adverse Effects(may affect more than 1 in 10 people)
Uncommon Adverse Effects(may affect up to 1 in 1,000 people)
Very Rare Adverse Effects(may affect up to 1 in 10,000 people)
? Tell your doctor, pharmacist, or nursespecializing in family planning if you are concerned about any adverse effect that you think may be due to Gestinyl. Also, tell them if any existing disease worsens while taking Gestinyl.
Reporting Adverse Effects
If you experience any type of adverse effect, consult your doctor, pharmacist, or nurse, even if it is a possible adverse effect that is not listed in this prospectus. You can also report them directly through the Spanish Pharmacovigilance System for Human Use Medicines: https://www.notificaram.es. By reporting adverse effects, you can contribute to providing more information on the safety of this medication.
Do not store above 30°C.
Keep this medication out of sight and reach of children.
Do not use this medication after the expiration date shown on the blister pack and carton after "EXP". The expiration date is the last day of the month indicated.
Medicines should not be disposed of through wastewater or household waste. Deposit the packaging and medicines you no longer need at the SIGRE Point in the pharmacy. In case of doubt, ask your pharmacist how to dispose of the packaging and medicines you no longer need. This will help protect the environment.
Composition ofGestinyl
Core of the tablet: magnesium stearate, povidone K-25, cornstarch, lactose monohydrate.
Coating of the tablet: povidone K-90, macrogol 6000, talc, calcium carbonate, sucrose, glycerin montanate.
Appearance of the Product and Package Contents
Gestinyl are white, round, biconvex, and unmarked coated tablets.
The tablets are supplied in blisters, each blister contains 21 tablets. The blisters are supplied in cartons. Each carton contains 1, 3, or 6 blisters.
Only some package sizes may be marketed.
Marketing Authorization Holder and Manufacturer
Marketing Authorization Holder
Laboratorios Effik, S.A.
C/ San Rafael, 3
28108 Alcobendas, Madrid
Spain
Manufacturer
Haupt Pharma Münster GmbH
Scheebrüggenkamp 15
48159 Münster
Germany
This medication is authorized by the member states of the European Economic Area under the following names
Denmark | Gestinyl, film-coated tablets |
Spain | Gestinyl 20/75 micrograms coated tablets |
Finland | Gestinyl 20 micrograms/75 micrograms coated tablet |
Hungary | Gestomix 20 micrograms / 75 micrograms oral tablet |
Italy | GESTODIOL 20 micrograms / 75 micrograms coated tablets |
Poland | Kontracept |
United Kingdom | Sunya 20/75 coated tablets |
Date of the last revision of this prospectus:June 2023
Detailed and updated information on this medication is available on the website of the Spanish Agency for Medicines and Health Products (AEMPS) (http://www.aemps.gob.es/).
The best alternatives with the same active ingredient and therapeutic effect.
Discuss dosage, side effects, interactions, contraindications, and prescription renewal for GESTINYL 20/75 micrograms FILM-COATED TABLETS – subject to medical assessment and local rules.